DOI: http://dx.doi.org/10.35381/r.k.v4i8.294
Estudio del
Talento Humano en las prácticas de los centros de información turística y su
incidencia en el turismo de la provincia de Cotopaxi
Study of the Human Talent in the practices of the tourist information
centers and its incidence in the tourism of the province of Cotopaxi
Liliana Martiza Pruna Jacome
Universidad de las
Fuerzas Armadas. ESPE. Sede Latacunga
Ecuador
https://orcid.org/0000-0001-7861-4289
Carlos Geovanny Albán Yánez
Universidad de las Fuerzas
Armadas. ESPE. Sede Latacunga
Ecuador
https://orcid.org/0000-0002-8651-5069
Recibido: 15 de abril del 2019
Aprobado: 20 de mayo del 2019
RESUMEN
Este documento muestra el estudio del talento humano en
las prácticas de los centros de información turística y su incidencia en el
turismo de la Provincia de Cotopaxi, se focaliza en el análisis de los diversos
factores que influye en la mejora de la gestión del talento humano vinculado al
sector turístico. Elaborando el modelo
de diamante de Porter que permita un análisis crítico
de fortalezas y debilidades que se presentan en el talento humano de los
centros de información turística; donde se establece la importancia de la
gestión del talento humano considerando a los trabajadores como uno de los
capitales de la empresa más importantes, pues la interacción entre ellos y el
cliente, complementan la calidad del producto o servicio.
Descriptores: Talento
humano; centros de información turística; incidencia en el turismo; calidad,
servicio.
ABSTRACT
This document shows
the human´s talent study in the practices of tourism information centers and
its impact on tourism in Cotopaxi province focuses on the analysis of various
factors that influence the improvement of management of human talent linked to
the tourism sector. Developing the Porter diamond model that let to do a
critical analysis of strengths and weaknesses presented in the human talent of
tourist information centers; where is established the importance of human
talent management; considering workers as one of the most important company
capitals, due to the interaction between them and the client complements the
quality in the product or service.
Descriptors: Human talent;
tourist information centers; impact on tourism; quality; service
INTRODUCCION
El mercado turístico ha ido
desarrollándose paulatinamente con el pasar de los años; estableciendo ventajas
competitivas, creando estrategias y
planes que permitan el desarrollo de las provincias del país. Específicamente
en la provincia de Cotopaxi; ubicada en la región Sierra Centro del país; que
posee atractivos naturales y culturales, captan la atención de turistas tanto
nacionales como extranjeros; entre los atractivos más destacados tenemos al
volcán Cotopaxi que cuenta con 5.987 msnm; la Laguna del Quilotoa,
las ferias artesanales, centros históricos, museos , entre otros.
Es importante resaltar que el turismo
hoy por hoy es una de las fuentes económicas más importantes de la provincia;
por ende se ve necesario captar la atención del turista ya sea mediante la
promoción y difusión de los atractivos que posee, aplicando métodos o
estrategias que conlleven a implementar centros de información turística; los
cuales cumplirían un rol fundamental al ofrecer información actual y enfocada a
la realidad del turismo que vive la Provincia. Dichos centros de información
turística deberán contar con talento humano capaz de resolver las inquietudes
de los turistas; a fin de orientarlos mediante la entrega de artículos,
folletos, guías, mapas, afiches, que contengan la información necesaria
requerida por el turista y mejore su estadía en la Provincia.
Sin embargo el personal que labora en
los centros de información turística no siempre está capacitado con el
conocimiento que se requiere para brindar este servicio al turista; por ello la
contratación del talento humano en estos centros debe contemplar fortalezas,
habilidades, destrezas acordes a las exigencias del mercado.
FUNDAMENTACION
TEORICA
Las
empresas turísticas
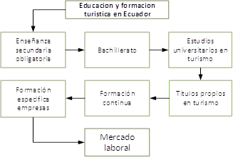
La empresa turística para
Las empresas turísticas tienen la
necesidad de fidelizar a sus clientes, en donde el talento humano se
convierte en un componente estratégico
e intangible que proporciona mayor valor añadido a una empresa especialmente en el
sector turístico, en donde la educación y formación de profesionales es
primordial para el desarrollo del país como se
muestra en la figura 1.

Figura
1: Educación y formación turística
Fuente:
Centros
de información turística
Los centros de información turística se define como aquellos
servicios públicos dependientes y
creados en general por una administración
pública o en colaboración con otras entidades que tiene como objetivo gestionar
todos los servicios relacionados con la atención orientación y asesoramiento
de los visitantes, así como organizar la
coordinación, promoción y comercialización de productos turísticos de su
demarcación territorial.
Para mejorar la atención, Ecuador en el
año 2010 crea los centros de información turística ubicados
en lugares estratégicos para brindar ayuda a los turistas, que buscan alcanzar el
mayor provecho posible de su estadía brindando como servicio mapas, folletos,
librería, casilleros, tienda de artesanías, internet gratuito y guía.
Es así que
en la provincia de Cotopaxi existían 27 centros de información turística hasta el año 2017, después del cambio de
gobierno y el ministerio de turismo se
vio obligado a cerrar varios
centros de información dictando una
normativa en donde cada GAD cantonal contará con un centro
de información lo cual se ha reducido a 7 por el número de cantones
que posee la provincia.
La
Administración del Talento Humano
La administración del talento humano
Según
Además para
En este sentido,
Capacidades
del Profesional de Turismo en la actualidad
El sector turístico
En este sentido, según
Competencias
Básicas
·
Poseer y comprender
conocimientos que aporten una base u oportunidad de ser originales en el
desarrollo y aplicación de ideas, a menudo en un contexto de investigación.
·
Utilizar los conocimientos
adquiridos y su capacidad de resolución de problemas en entornos nuevos o poco
conocidos dentro de contextos más amplios relacionados con su área de estudio.
·
Tener la capacidad de integrar conocimientos y
enfrentarse a la complejidad de formular juicios a partir de una información
que, siendo incompleta o limitada, incluya reflexiones sobre las
responsabilidades sociales y éticas vinculadas a la aplicación de sus conocimientos
y juicios.
·
Poseer las habilidades de
aprendizaje que les permitan continuar estudiando de un modo que habrá de ser
en gran medida auto dirigido o autónomo.
Permiten el acceso a una formación o a
un trabajo, son los conocimientos básicos que permiten una oportunidad para
demostrar las habilidades y destrezas adquiridas y la capacidad de solucionar
algún problema en el área de turismo, así como el conocimiento y dominio de
varios idiomas.
Competencias
Generales
·
Capacidad para presentar en
público el diseño de un proyecto de manera clara y coherente, responder satisfactoriamente
a críticas sobre el mismo, mediante juicios argumentados y defenderlo con rigor
y tolerancia.
·
Capacidad para dirigir
personas y habilidades directivas de liderazgo en la actividad turística.
·
Habilidades en la
negociación y resolución de problemas y conflictos.
·
Habilidades para buscar,
procesar y analizar información procedente de fuentes diversas.
·
Manejar las TICs.
·
Capacidad para trabajar en
un equipo y enfrentarse a situaciones problemáticas de manera colectiva.
·
Actuar en el marco de los
Derechos Humanos, los principios democráticos, los principios de igualdad entre
mujeres y hombres, de solidaridad, de protección medioambiental, de
accesibilidad universal y diseño para todos, y de fomento de la cultura de la
paz.
Son relevantes debido a su sincronía con
nuevas necesidades y situaciones laborales que se presentan en el área de trabajo en donde los
profesionales en turismo deben cumplir con aptitudes y actitudes adecuadas durante
su desempeño laboral.
Competencias
Específicas
·
Analizar la estructura de la
actividad turística en todos sus niveles, teniendo en cuenta los componentes
del desarrollo turístico sostenible, sus ventajas, así como con sus
limitaciones y riesgos.
·
Conocer las costumbres y
prácticas del sector en su vertiente nacional e internacional, así como las
peculiaridades inherentes a las diferentes áreas económicas.
·
Obtener una visión más
amplia de las relaciones comerciales, que abarca a todos los mercados
turísticos, enfocando la problemática empresarial desde una perspectiva tanto
local como global.
·
Conocer la metodología de la
gobernanza turística.
·
Realizar informes detallados
sobre el sector y la actividad turística.
·
Detectar oportunidades y
amenazas de distintos mercados turísticos, de sus competidores a corto y largo
plazo y sus clientes.
·
Detectar nuevos mercados
turísticos emergentes y abrir la empresa a los mismos. Realización de informes
para asesoramiento en relaciones con mercados emergentes.
·
Adaptar la estrategia
comercial a las particularidades de cada entorno empresarial turístico.
·
Seleccionar y gestionar las
vías de acceso a los mercados turísticos.
·
Capacidad de dirección de
departamentos de empresas turísticas.
·
Asumir responsabilidades
directivas y técnicas en organismos públicos y para públicos cuyo objeto es el
apoyo a la gestión de las empresas turísticas.
·
Gestionar un departamento de
turismo en la administración pública.
·
Entender y adaptarse a las
particularidades culturales de cada mercado turístico.
Es por ello que el profesional del
turismo en su formación integral deberá llevar valores esenciales que en su
conjunto acudan a desarrollar un servicio de excelencia, la laboriosidad, el
trabajo en equipo y la profesionalidad, son la base para la realización de sus
actividades. Así mismo el servicio, es la clave fundamental en el sector
turístico, debe brindarse con calidad y para esto se necesita de un quehacer
efectivo y eficiente, cordial y amable, que el servicio mismo se constituya en
una forma de vida, en un proyecto ético sinceramente asumido por quienes lo
prestan.
Tanto los valores más trascendentes para
una sociedad como lo son la igualdad, la justicia, la solidaridad, como los
valores más específicos, por ejemplo, en el orden profesional, el amor a la profesión,
la actitud de servicio, en este caso puntual, son reflejados por cada persona
de manera diferente en función de su historia individual, de sus intereses,
capacidades; quiere decir que no siempre los valores jerarquizados oficialmente
por una sociedad como los más importantes.
Objetivos
de la investigación
Objetivo
general
Estudiar la incidencia de la gestión del
talento humano que labora en los centros de información turística en la
Provincia de Cotopaxi.
Objetivos
específicos
·
Describir la teoría del
talento humano y las capacidades en el marco del sector turístico.
·
Realizar un análisis a
través del Diamante del Porter con el fin de ejecutar
un diagnóstico interno de la provincia de Cotopaxi.
·
Analizar las prácticas de la
gestión de talento humano en el campo turístico de la Provincia de Cotopaxi.
METODOLOGÍA
La metodología de investigación se
denomina “ estudio del talento humano en las
practicas e los centros de información turística y su incidencia en el
turismo de la Provincia de
Cotopaxi ” a implementarse, se
utiliza los métodos de investigación cuantitativa y cualitativa, de
tipo correlacional, pues relaciona a variables
cualitativas con otras de índole cuantitativo con el objetivo de desarrollar
una matriz de competitividad inspirada en los aportes resumidos en el Diamante
de Porter, que aplique al sector turístico.
Según
Además para
Para el autor
Análisis
de competitividad en base al Diamante de Porter
El presente análisis de competitividad
turística que tiene la provincia de Cotopaxi, se realiza en base a la matriz de
Porter. Para el diagnóstico realizado de
competitividad, se ha considerado los ajustes respectivos aplicados al turismo,
pues el diamante de Porter se orienta a nivel de
países, provincias y empresas. La mayoría de puntos de esta metodología son
aplicables al caso del turismo, por lo que con el ajuste respectivo que se
podrá desarrollar el diagnóstico. A continuación en la figura 2 se presenta
esquemáticamente del diamante de Porter aplicado al
turismo de la Provincia de Cotopaxi.

Figura
2: Diamante de Porter
Fuente:
Diagnóstico
interno
Condiciones
de los factores locales
Al analizar los factores de
competitividad local, se ha podido observar en el diagnóstico realizado, que
cada provincia dispone de un inventario turístico importante, desde el ámbito
de los atractivos naturales y culturales, el mismo que nos sirve de base
para la elaboración de los productos turísticos.
Capacidad
de servicios turísticos
Se ha podido previamente profundizar
acerca de la capacidad de los servicios turísticos, determinándose que existe
una gran cantidad de los mismos en los diferentes lugares de la provincia de
Cotopaxi, muchos de ellos de alta calidad. Sin embargo, hay que observar
también que muchas localidades de la provincia, que no tienen los mejores
servicios turísticos, tanto en infraestructura, servicio al cliente o productos
entregados, pero existe mucha diversidad, por lo que los turistas pueden
elegir, por ello se puede indicar que la capacidad de los servicios turísticos
es muy variada, existen servicios de alto nivel y en cantidad, como también en
ciertas localidades en las que existe falta de infraestructura y falta de
calidad en los servicios, ámbito en el que se debe considerar establecer un
control y soporte estratégico.
Personal
e infraestructura
El caso del talento humano y la
infraestructura, es un reflejo de los servicios turísticos mencionados en el
apartado anterior, existiendo lugares donde consta con personal calificado, y
en suficiente cantidad y un servicio proporcionado de primera clase, así como
otros lugares donde la atención no es buena y el servicio tampoco. Sin embargo
hay que tomar en cuenta que en general en la Provincia de Cotopaxi, existe en
su mayoría calidez de la gente, lo cual es una ventaja importante para que de
esta manera se pueda desarrollar las actividades turísticas
Capital
para inversión, actividades turísticas
El país en general no tiene capital suficiente
para inversiones muy grandes e infraestructura turística, lo cual no lo hace
tan competitivo como otras provincias en ciertos ámbitos, sin embargo la
riqueza natural que dispone la provincia de Cotopaxi, compensan esta falta de
inversión. Hay que tomar en cuenta que en Cotopaxi no se han implementado
grandes infraestructuras como parques temáticos o museos de grandes
proporciones o características.
Condiciones
de la demanda local
Tamaño
del mercado
El turismo actualmente está soportado en una
proporción importante por la demanda local del país, sin embargo al ser aun
provincia pequeña y una población pequeña, dentro del cual existe un importante
porcentaje de personas pobres y un bajo ingreso per cápita, por lo que la
demanda del mercado interno es limitada, esto es parte por lo que el país aún
no tiene un porcentaje importante de participación en el PIB (1,6% del PIB),
así como tampoco los suficientes ingresos por concepto de turismo interno.
Sofisticación
de los consumidores
Actualmente el cliente a nivel de
Ecuador es bastante exigente. Años atrás no existía una exigencia en relación a
servicios, lo cual generaba que muchos prestadores de servicios turísticos no
entreguen la mejor atención o el mejor servicio, sin embargo en las últimas
década los consumidores de servicios turísticos son más exigentes y esto ha
generado mayor competitividad en relación a servicio y por tanto buenos niveles
de atención. Los turistas extranjeros también son exigentes en cuanto a
servicio y por tanto esto también eleva los niveles de servicio.
Satisfacción
de los clientes
La satisfacción de los turistas está
dada por la oferta de turismo existente en la provincia de Cotopaxi, la
infraestructura y servicios turísticos y el nivel de servicio prestado, por lo
que, habiendo previamente analizado esto, se puede determinar que en un alto
porcentaje de los casos, los clientes se encuentran satisfechos por el servicio
recibido, principalmente por los beneficios obtenidos de los lugares
turísticos, servicios y vivencias que han podido tener en país. Teniendo en
claro que existen aspectos que mejorar aún y son los que se deberán tomar en
cuenta en las estrategias para el mejoramiento del turismo.
Dentro de las entidades públicas se
encuentra el Ministerio de Turismo, siendo esta entidad la encargada de la
promoción en general del país. Esta entidad ofrece soporte, permisos y
regulaciones de la actividad turística del país. Esta entidad trabaja
conjuntamente y bajo el gobierno nacional quien presenta los lineamientos,
regulaciones a nivel de país.
Según
Las operadoras turísticas, así como
empresas de servicios turísticos de igual manera, las que operan en los principales
cantones de la provincia de Cotopaxi, son eficientes y favorecen a la provisión
de servicios de calidad al sector. En el caso de las localidades pequeñas es
variable, donde existen empresas o negocios que dan un importante soporte al
turismo local y en otros casos no favorecen a este.
Campañas
del Ministerio de Turismo
Como se mencionó el Ministerio de
Turismo regula y fomenta el turismo en el Ecuador, sin embargo uno de los
principales logros que ha tenido está basado en las campañas que se han
realizado a nivel de país. El Ministerio de Turismo ha realizado varias campañas,
entre ellas la más fuerte denominada: Allyouneedis
Ecuador, presentada en “19 ciudades del mundo, 7 de ellas de Ecuador, con miras
a posicionar al país como destino turístico de clase mundial.”
ANÁLISIS
Y DISCUSIÓN DE RESULTADOS

Tabla:
1
Fuente:
Datos de la investigación
Discusión
de los resultados
En el presente trabajo se realiza el
análisis para el estudio de la incidencia del talento humano que labora en los
centros de información turística en la Provincia de Cotopaxi, para el juicio
del investigador se ha considerado trabajar con los 7 centros de información
turística que se encuentran ubicados en los cantones de la provincia de
Cotopaxi siendo estos de mayor representatividad para el servicio turístico.
Tras haber realizado la investigación ver tabla1 se obtiene como resultado que el 17% de la
población encuestada está totalmente de acuerdo en que se debe poseer alianzas
con varias instituciones públicas y privadas para complementar el servicio ya
que permite tener mayor amplitud para tener información de todos los atractivos que posee la provincia
de Cotopaxi, el 57% está de acuerdo en que
se debe facilitar el crecimiento del personal, motivaciones y el
desarrollo de sus capacidades para
contribuir con ello a la mejora de la
prestación de servicio e incentivando a los profesionales en turismo a mejorar
sus conocimientos en el área través de constantes capacitaciones, el 21% no está ni de acuerdo ni en desacuerdo
en que los atractivos turísticos que ofertan los centros de información turística cumplan con los
intereses de los turistas para lo cual se
podría incrementar más
campañas publicitarias que
permita dar a conocer la cultura y tradiciones de los pueblos a visitar
dando realce al turismo de la provincia,
el 3% está en desacuerdo respecto a los
centros de información turística prestan asistencia técnica y apoyo al
sector turístico, tanto a las empresas como administraciones autónomas y
locales, el 4% está en total desacuerdo que los
centros de información turística tienen incidencia simultánea con el
talento humano y el turismo.
Consecuentemente se establece que la
implementación de talento humano en los Centros de información turística de la
provincia Cotopaxi debería ser controlada en cuanto a capacitación pues los
turistas requieren mejor servicio, calidad en la información.
Conclusiones
La relevancia del talento humano en la
competencia del sector turístico es un hecho que se ha reconocido con el paso
del tiempo por lo cual es necesario contar con un factor de forma integral que
permita apreciar las conexiones con el nuevo mercado laboral, empresarial y
educativo obteniendo planificación y desarrollo del talento humano en los
centros de información turística.
También se estableció en este trabajo un
marco de análisis aplicado al talento humano en el sector turístico basado en
los cuatro ángulos del diamante de Porter, que
permite estudiar los distintos factores. Planteando relaciones que pueda
establecer pautas a seguir para mejorar el servicio en los centros de
información turística. Además que este modelo
1.
Benitez, N., & Rosero, J. (junio de 2014). Enumet.
Obtenido de http://www.eumed.net/rev/turydes/16/universidad-turismo.pdf
2.
Canal, E. (2010). Centros de
informacion turistica . Pasos , 2-3.
3.
Chiavenato, I. (2012). Gestion
del talento humano . Mexico : McGrawHill.
4.
Fernandez, J. (2014). Gestion
por competencias . España: Prentice Hall.
5.
Garcia, I. (2013). gestion
de recursos humanos en empresas turisticas . España: Paraninfo.
6.
Gomez, D., & Roquet, J.
(2008). Openaccess.uoc.edu. Obtenido de
http://openaccess.uoc.edu/webapps/o2/bitstream/10609/77608/2/Metodología%20de%20la%20investigación_Módulo%201.pdf
7.
Keith, D., & Newstrom,
J. (2013). Comportamiento humano en el trabajo. Mexico: Mcgrawhill.
8.
Martin, I., & Gaspar, A.
(2010). ADministracion de los recursos humanos en las empresas turisticas .
Madrid: Ediciones Priramide.
9.
Martinez, C. (2010). Atlas
socioambienta de Cotopaxi. Flacso, 45-49.
10. MINTUR. (Octubre de 2018). Ministerio de Tuismo. Obtenido de
https://www.turismo.gob.ec/#search
11. Moragues, D. (2009). Turismo cultura y ciencia . Organizacion de
estados iberoamericanos , 11.
12. Pardo, M., & Luna, R. (2007 ). Recursos Humanos para Turismo .
Madrid: Prentice Hall.
13. Plandetur2020. (2012). Plandetur 2020. Obtenido de
https://jorgepaguay.files.wordpress.com/2012/03/plandetur.pdf
14. Porter, M. (1991). La Ventaja competitiva de las Naciones . En M. Porter, La
Ventaja competitiva de las Nacione. Buenos Aires : Vergara.
15. Rodriguez, D. (2010). lefeder.com. Obtenido de
https://www.lifeder.com/investigacion-experimental/
16. Ruiz, R. (2007). Historia y evolucion del pensamiento cientifico. Atlante,
18.
REFERENCES CONSULTED
1. Benitez, N., &
Rosero, J. (June 2014). Enumet Retrieved from http://www.eumed.net/rev/turydes/16/universidad-turismo.pdf
2. Canal, E. (2010). Tourist information centers. Steps, 2-3.
3. Chiavenato, I. (2012). Management of human talent. Mexico: McGrawHill.
4. Fernandez, J. (2014). Management by competences. Spain: Prentice Hall.
5. Garcia, I. (2013). management of human
resources in tourist companies. Spain: Auditorium.
6. Gomez, D., & Roquet, J. (2008).
Openaccess.uoc.edu. Retrieved from http://openaccess.uoc.edu/webapps/o2/bitstream/10609/77608/2/Metodología%20de%20la%20investigación_Módulo%201.pdf
7. Keith, D., & Newstrom, J. (2013). Human
behavior at work. Mexico: Mcgrawhill.
8. Martin, I., & Gaspar, A. (2010). ADMINISTRATION OF HUMAN RESOURCES
IN TOURIST COMPANIES. Madrid: Priramide Editions.
9. Martinez, C. (2010). Socio-environmental Atlas of Cotopaxi. Flacso, 45-49.
10. MINTUR. (October 2018). Ministry of Tuismo.
Retrieved from https://www.turismo.gob.ec/#search
11. Moragues, D. (2009). Tourism culture and science. Organization of Ibero-American states, 11.
12. Pardo, M., &
Luna, R. (2007). Human Resources for Tourism. Madrid: Prentice Hall.
13. Plandetur2020. (2012). Plandetur 2020.
Retrieved from https://jorgepaguay.files.wordpress.com/2012/03/plandetur.pdf
14. Porter, M. (1991). The competitive advantage of the nations
. In M. Porter, The Competitive Advantage of
the Nation. Buenos
Aires: Vergara.
15. Rodriguez, D. (2010). lefeder.com Retrieved from https://www.lifeder.com/investigacion-experimental/
16. Ruiz, R. (2007). History and evolution of scientific thought. Atlante, 18.
©2019 por los autores. Este artículo es de acceso abierto y distribuido
según los términos y condiciones
de la licencia
Creative Commons Atribución-NoComercial-CompartirIgual 4.0 Internacional (CC BY-NC-SA 4.0)
(https://creativecommons.org/licenses/by-nc-sa/4.0/).